无量纲量具有数值的特性,可通过两个量纲相同的物理量相除得到,也可由几个量纲不同的物理量通过乘除组合得到。在科研中,无量纲数对于理论求解,实验研究和数值计算都有指导意义。以下为流体力学中常见的无量纲数:
1 雷诺数(Re)
自然界的流体流动有两种流态:低速流动,流体为有规则有秩序的流动,称为层流;当流速增大时,流体逐渐转为一种杂乱无章的流动状态,称为湍流。雷诺数反应了惯性力和粘性力的比值,是判断流场处于湍流还是层流的一个数值,其表达式:
其中,ρ为密度,v为流体平均流速,d为特征长度,一般依据具体的研究问题进行选择,μ是动力粘度。雷诺数较小时,粘滞力对流场的影响大于惯性,流场中流速的扰动会因粘滞力而衰减,流体流动稳定,为层流;反之,若雷诺数较大时,惯性对流场的影响大于粘滞力,流体流动较不稳定,流速的微小变化容易发展、增强,形成紊乱、不规则的紊流流场。
2 努塞尔数(Nu)
努塞尔数以德国物理学家 Wilhelm Nusselt 的名字命名,以纪念其该方向研究的突破贡献。在流体边界(表面)的热传递中,努塞尔数 (Nu) 是跨越边界的对流热量与传导热量的比率。在传热实验及流体仿真计算中,Nu 数是反映对流换热能力的一个重要无量纲数。
其中,h为流体的对流传热系数,L 为传热面的几何特征长度,λ为流体的导热系数。
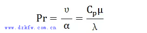
3 普朗特数(Pr)
普朗特数是表示流体中能量和动量迁移过程相互影响的无因次组合数,表明温度边界层和流动边界层的关系,反映流体物理性质对对流传热过程的影响,其表达式:
其中,υ为运动粘度,α为热扩散系数,μ为动力粘度,Cp为定压比热,λ为导热系数。从热物性的角度看,如果已知动力粘度、导热系数以及定压比热中的任何2个参数,就可以通过普朗特数得到第3个。
4 马赫数(Ma)
马赫数是流体力学中表征流体可压缩程度的一个重要的无量纲参数,记为Ma,定义为流场中某点的速度v同该点的当地声速c之比,它是以奥地利科学家E.马赫的姓氏命名的。
由定义可知,马赫数是表示声速倍数的数,一马赫即一倍音速:马赫数小于1者为亚音速,近乎等于1为跨声速,大于1为超声速。
5 毕渥数(Bi)
表征固体内部单位导热面积上的导热热阻与单位面积上的换热热阻(即外部热阻)之比,其表达式:
其中,δ是特征长度,h 是表面传热系数,λ是导热系数。其物理意义是,毕渥数的大小反映了物体在非稳态导热条件下,物体内温度场的分布规律,或者认为是固体内部导热热阻与界面上换热热阻之比。
努塞尔数表达式看起来与毕渥数相同,但二者意义有本质区别,Nu数表示壁面上流体无量纲温度梯度(λ为流体导热系数),用于研究对流传热问题;而毕渥数用于研究导热问题,为固体内部导热热阻与界面上换热热阻之比。
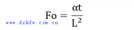
6 傅里叶数(Fo)
傅里叶数可以表示非稳态传热速率与热存储速率的比值,以约瑟夫·傅立叶的名字命名。
傅里叶数=(热扩散率*时间)/厚度的二次方,物理意义是两个时间比值的无量纲量,分子理解为物体表面发生一个有限大小的热扰动时刻至开始计算时刻时间长度,分母可以理解为同样的热扰动。从发生时刻起,至其影响深度至分母中厚度时刻为止的时间长度。对两个同心圆柱体间的定常层流进行模拟。内部圆筒以恒定的角速度旋转引起流动,外部圆筒保持静止。流动是稳态的。利用层流的解析方程可以计算出不同截面的切向速度。这些数值可用于与仿真结果进行比较。


返回顶部
刷新页面
下到页底